中山大学刘新智副教授在二维范德华铁性材料磁性与磁电耦合研究取得新进展

来源:磁电物性分析与器件重点实验室 #中山大学#
1492

二维范德瓦尔斯(vdW)材料因其层状结构和多层次可调控的物理性质,在纳米器件和多功能传感器领域展现出巨大潜力。其中,硫代磷酸盐家族(MPX3)中的CuCrP2S6(CCPS)作为一种典型的二维vdW材料,因在低温下同时表现出I型多铁的本征反铁电(AFE)、层内铁磁(FM)层间反铁磁(A-type AFM)有序,和II型多铁性等磁电耦合特征而具有很大的应用潜力,受到广泛关注。有效调控CCPS的铁性序(包括反铁电和反铁磁序),探索增强磁电耦合效应的手段,是一个重要的研究课题。中山大学物理学院、广东省磁电物性分析与器件重点实验室刘新智副教授课题组尝试利用价态相同、离子半径有较小差异、且自旋量子数不同的V³⁺(S=1)替代Cr³⁺(S=3/2),在保持Cu1+与Cr/V3+位置的电荷有序的前提下,通过离子半径和自旋变化对其铁电/反铁电、铁磁/反铁磁序进行调控,为探索新型多铁性材料的设计路径,为低能耗自旋电子学器件提供理论依据和实验基础。

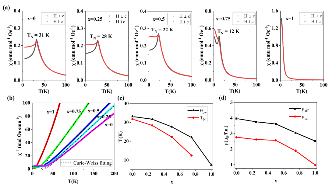
中山大学课题组硕士研究生罗沛填及合作者采用化学气相传输法成功生长了高质量的CuCr1-xVxP2S6(x=0, 0.25, 0.5, 0.75, 1)单晶样品,并通过X射线衍射、磁性测量和介电表征系统研究了V掺杂对CuCr1-xVxP2S6磁性和电学性质的影响。通过实验与理论计算相结合,系统阐明了V掺杂对CCPS磁电性质的调控机制。研究发现随着V掺杂浓度增加,CuCr1-xVxP2S6的A型反铁磁序被逐渐抑制,表现为奈尔温度与饱和磁场的显著降低,并最终在CuVP₂S₆中呈现出准二维海森堡铁磁行为(图1)。同时,磁各向异性明显减弱,这是磁有序温度下降的重要原因,符合Wagner-Mermin 定理,为二维海森堡磁体研究提供了一个典型系统。

图1 (a) CuCr₁₋ₓVₓP₂S₆单晶在平行和垂直于c*轴方向施加1 kOe磁场下测得的零场冷磁化率。(b) 磁化率倒数随温度变化的居里-外斯拟合结果。(c) 从居里-外斯拟合中提取的奈尔温度TN、居里-外斯温度θcw,以及(d) 有效磁矩μeff和从等温磁化曲线得到的饱和磁矩μsat 随CuCr₁₋ₓVₓP₂S6组分x的变化关系。

在铁电性方面,V掺杂最终完全抑制了CCPS在150K的反铁电长程有序,使其保持顺电的C2/c结构。但在低温下,V掺杂诱发了一系列源自反铁电极性团簇涨落的介电弛豫现象。最为重要的是,反铁电极性团簇涨落与铁磁序存在强烈的耦合,在掺杂样品中观察到在饱和磁场附近出现的、近乎各向同性的显著磁介电响应(magnetodielectric effect)(图2)。基于对称性的自由能唯象分析揭示,虽然掺杂导致晶体对称性提升后,原有的线性磁电耦合项被禁止,但铁磁序参量M、反铁磁序参量A与极化P之间的(二阶及以上)高阶耦合项仍然存在,这是磁介电效应产生的基础。基于磁电物性的测量,作者建立了该体系在不同温度和成分下的相图(图3)。该工作阐明了通过化学掺杂调控增强二维材料中铁性序参量耦合的有效路径,为设计新型多铁性器件提供了重要指导。

图2 (a)-(b) CuCrP₂S₆在100 kHz频率下、磁场H平行/垂直于c轴时的归一化磁介电谱。(c)-(d) CuCr₁₋ₓVₓP₂S₆(x=0.25–1)在100 kHz频率下、磁场H平行/垂直于c轴时的归一化磁介电谱。

图3 CuCr₁₋ₓVₓP₂S₆的组分-温度下结构与磁电物态相图。

该成果以“Magnetism and magnetoelectric coupling in the van der Waals antiferromagnet CuCr₁₋ₓVₓP₂S₆”为题发表于国际物理学期刊《Physical Review B》。该工作由中山大学独立完成,物理学院、广东省磁电物性分析与器件重点实验室的硕士研究生罗沛填为论文第一作者,刘新智副教授为论文通讯作者。该研究工作得到了国家自然科学基金、广东省磁电物性基础学科研究中心以及广东省磁电物性分析与器件重点实验室的大力支持。

责编: 集小微
来源:磁电物性分析与器件重点实验室 #中山大学#
THE END
关闭
加载

PDF 加载中...